Table of Links
- The Compound Decision Paradigm
- Parametric Priors
- Nonparametric Prior Estimation
- Empirical Bayes Methods for Discrete Data
- Empirical Bayes Methods for Panel Data
- Conclusion
Appendix B. Predictive Distribution Comparison
Appendix A. Tweedie’s Formula
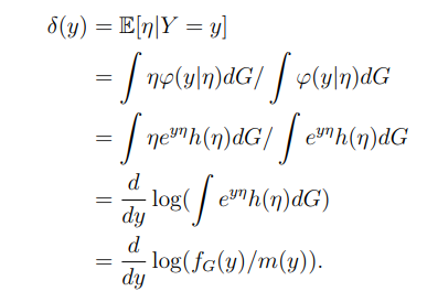
Robbins (1956) attributes Proposition 2 to Tweedie (1947). It follows by straightforward exponential family computations, as in van Houwelingen and Stijnen (1983),

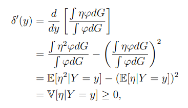
Differentiating again,

implies that δ must be monotone.


Authors:
(1) Roger Koenker;
(2) Jiaying Gu.
This paper is available on arxiv under CC BY 4.0 DEED license.
